New England Section of the American Urological Association

NEAUA Home NEAUA Home Past & Future Meetings Past & Future Meetings

Back to 2025 Abstracts


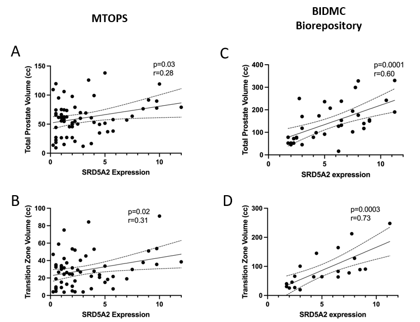
SRD5A2 Expression Correlates with Prostate Volume
Christina Sharkey, M.S., Nicolas Patsatzis, B.S., Xingbo Long, M.D., Ra’ad Alfaouri, M.D., Boqing Gu, Ph.D., Yao Tang, M.S., Victoria Faustin, M.S., Heidi J Rayala, M.D., Ruslan Korets, M.D., Boris Gershman, M.D., Zongwei Wang, Ph.D., Aria F Olumi, M.D..
Beth Israel Deaconess Medical Center, Brookline, MA, USA.

BACKGROUND: Steroid 5α reductase 2 (SRD5A2) is an essential enzyme in prostatic development and growth. The main treatment for benign prostatic hyperplasia (BPH) is 5α-reductase inhibitors (5ARIs). However, 30% of BPH patients exhibit low or absent SRD5A2 expression, leading to reduced 5ARI therapy efficacy. This study aims to investigate the correlation between SRD5A2 expression and prostate size, providing insights into the variability of treatment responses among BPH patients. METHODS:Sixty-one prostate biopsies from the Medical Therapy of Prostatic Symptoms (MTOPS) trial from NIDDK Central Repository and forty-nine surgical prostate tissues from BIDMC biorepository were used in this study. Clinical information was collected for correlation studies. DHT levels were measured using ELISA kit. Srd5a2 DNA methylation in promoter region of tissues and white blood cells (WBCs) was measured using Methylamp DNA Modification kit. SRD5A2 protein expression was assessed by immunohistochemistry. RESULTS:In both cohorts, SRD5A2 expression showed a positive correlation with total prostate volume and transition zone volume (Figure1). However, SRD5A2 expression was not significantly associated with DHT levels in either serum or prostate tissues. In BIMDC cohort, SRD5A2 expression was additionally correlated with peripheral zone volume (R=0.64, p=0.002). Furthermore, Srd5a2 DNA methylation level in the tissue negatively correlates with SRD5A2 protein expression (R=-0.84, p=0.001), and positively correlates with Srd5a2 DNA methylation in WBCs (R=0.75, p=0.01).CONCLUSIONS:Our findings reveal a significant correlation between SRD5A2 expression and prostate size, particularly in the transition zone. Additionally, Srd5a2 methylation might serve as a predictor of SRD5A2 level in the prostate. These insights emphasize the potential for better therapeutic response using personalized BPH treatments based on SRD5A2 DNA methylation and protein expression profiles.


Back to 2025 Abstracts